Научная статья о витаминоподобные вещества.
Научная статья о витаминоподобные вещества.
Холин впервые обнаружил в 1849 г. Streker в желчи. Однако в чистом виде он был им выделен только в 1862 г. и тогда же получил впервые свое название. Физиологической роли холина стали уделять внимание после исследований, показавших, что холин входит в состав лецитина в качестве его постоянного структурного компонента. Сначала это было установлено в отношении лецитина яичного желтка, а затем и лецитина мозга. Позднее было выяснено, что особое положение лецитина как пищевого фактора связано не с фосфорным компонентом, а с холином. Исключение холина из пищи ведет к развитию ожирения печени. Включение его в пищу способно предупреждать и ликвидировать этот вид ожирения. В связи с этим холин был отнесен к числу незаменимых факторов питания, т. е. к витаминам, и в частности к витаминам группы В.
Однако после того как был подробно изучен биосинтез холина и показана возможность его синтеза de novo, включая и его метильные группы, то стало очевидным, что нет оснований считать его незаменимым фактором питания. Тем не менее в силу ограниченных размеров биосинтеза метильных групп в организме ряд исследователей предлагают относить холин к числу так называемых «частичных витаминов».
Холин представляет собой аминоэтиловый спирт, содержащий три метильные группы у атомов азота. Гидроксильная группа при азоте находится в ионизированном состоянии, вследствие чего холин является сильным основанием. Это бесцветное соединение, которое с трудом кристаллизуется из-за высокой гигроскопичности. Обычно это вязкая сиропообразная жидкость. Молекулярный вес холина 121,18. Он хорошо растворим в воде и спирте, но не растворим в эфире. Холин относительно стабилен, и высокая температура (до 180°) не разрушает его. При обработке горячей щелочью он может разрушаться с образованием триметиламина. Холин обладает способностью образовывать соли со многими органическими и неорганическими кислотами. Наиболее распространена его хлористоводородная соль. Молекулярный вес холинхлорида 139,63. Как и холин, он гигроскопичен, легко растворяется в воде и спирте. В растворе холинхлорид нейтрален.
Из антагонистов холина наиболее изучен 2-амино-2-метилпропанол, вызывающий поражение печени и почек у крыс. Этот эффект снимается при введении в диету холина. Изменения в печени крыс вызваные 2-амино-2-метилпропанолом, снимаются, помимо холина, и его метилированными предшественниками.
Холин входит в состав многих пищевых продуктов. Растительные продукты содержат меньше холина, чем продукты животного происхождения. В последних содержание холина пропорционально содержанию в них фосфолипидов. Лучшим источником холина среди продуктов животного происхождения является яичный желток. Холин содержится также в печени, мозге, поджелудочной железе. Из растительных продуктов лучшим источником его являются зеленые листья и бобовые. В злаках холин находится в зародышевой части зерна.
В процессе кулинарной обработки теряются определенные количества холина. Так, при варке растительных продуктов потери колеблются в пределах 10—40%, при варке мяса и печени они составляют 18%, при выпекании изделий потери незначительны.
Методы определения холина. Биологический метод определения холина основан на оценке интенсивности роста плесени Neurospora erassa. После облучения рентгеновскими или ультрафиолетовыми лучами плесень теряет способность к синтезу холина и поэтому растет лишь на средах, содержащих холин. Интенсивность роста плесени пропорциональна концентрации в среде холина. Хотя этот метод является достаточно точным, он уступил место химическим методам. Последние основаны на экстрагировании холина и последующем осаждении в виде комплексного соединения. В случаях, когда необходимо определить только свободный холин, образцы могут быть обработаны холодной водой или холодным спиртом. Для освобождения связанной формы холина необходим гидролиз.
Содержание холина в органах и тканях. Являясь составной частью фосфолипидов, холин практически входит в состав всех клеток тела. В животном организме он встречается не только в составе лецитинов, но и в свободном состоянии. В крови содержится около 35 мг% общего холина, причем большая часть его находится в плазме и лишь незначительное количество в клетках. Содержание холина в крови человека подвержено сезонным колебаниям; наименьшие количества обычно обнаруживаются в июле, а наивысшие — в феврале, марте. Содержание свободного холина в крови человека, по данным разных авторов, составляет от 0,1 —0,9 до 2,7 мг|% . При определении содержания холина в сыворотке крови женщин в разные периоды менструального цикла наибольшие количества найдены около 14-го дня, а наименьшие — около 26-го дня. Холин и триметиламин в больших количествах выделяются с менструальной кровью. Холин обнаруживаетсяи в спинномозговой жидкости; концентрация общего и свободного холина в спинномозговой жидкости составляет соответственно 104—423 и 77—216 нг/мл.. Свободного и связанного холина много в семенной жидкости человека, причем большая часть связанного холина находится там в виде фосфррилхолина. и глицерофосфорилхолина.
Предложение о наличии вещества, обладающего свойствами витамина, было высказано при изучении роста дрожжей на питательных средах. Этим веществом оказался инозит. Хотя он известен давно, изучение его биологического действия началось значительно позже. Было показано, что при отсутствии инозита задерживается рост мышей, наблюдается довольно специфическая потеря шерстного покрова. Эти явления устранялись включением в диету печени. Вещество, устранявшее потерю шерстного покрова, является фосфорным эфиром инозита. Витаминными свойствами против алопеции обладает также фитин — соль инозитфосфорной кислоты. Фитин и инозит оказывали одинаковый биологический эффект.
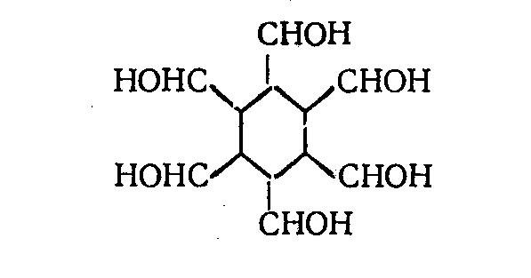
Инозит является шестиатомным циклическим спиртом циклогексана следующего строения.

Температура плавления инозита 225°С. Его кристаллы хорошо растворимы в воде (10 — 14 г на 100 мл). Инозит стоек к воздействию кислот и щелочей. Наиболее распространен в природе неактивный мезоинозит. У животных, находящихся на инозит дефицитной диете, кроме специфического облысения, наблюдаются нервно-трофические расстройства, нарушение координации движений, судороги конечностей и полная потеря зрения. При длительной недостаточности инозита животные погибают. Гибель наступает быстрее при одновременном дефиците в диете парааминобензойной кислоты. Отсутствие инозита в питании оказывает также отрицательное влияние и на функцию желудочно-кишечного тракта: нарушается двигательная деятельность желудка и кишечника.
Инозит обнаружен в кефалинах мозга, что очевидно и вело к появлению симптомов нарушения функции нервной системы при его дефиците. Инозит в организме участвует в обмене фосфатидов. Физиологическое действие инозитфосфатидов обусловлено наличием в молекуле двух биологически активных компонентов — фосфора и инозита. Инозитфосфат может образовываться в организме при участии АТФ, цитидинтрифосфата и цитидинмонофосфата. Инозит необходим также для роста некоторых микроорганизмов, хотя большинство синтезирует его в достаточных количествах. Имеются данные, свидетельствующие о том, что инозит обладает липотропным действием, принимая участие в регуляции жирового обмена. Введение инозита предотвращает накопление в печени жира и холестерина. Включение в диету инозита способствует снижению жировой инфильтрации печени у больных со злокачественными опухолями.
Инозит широко распространен в природе и, кроме дрожжей и печени, обнаружен во фруктах, ягодах, овощах, злаках, молоке, мясе и внутренних органах животных. Наиболее богатыми источниками инозита являются: пшеничные отруби (100 мг на 100 г) и зародыши (700—900 мг на 100 г), апельсины (250 мг на 100 г), зеленый горошек (150—240 мг на 100 г), другие фрукты и овощи содержат меньше инозита (21—85 мг на 100 г). Из животных продуктов наиболее богаты инозитом сердце (60—200 мг на 100 г) и мозг (200 мг на 100 г). Другие животные продукты (мясо кур, телятина, рыба, яйца, молоко) содержат меньшее количество инозита (11—50 мг на 100 г). В продуктах животного происхождения инозит находится преимущественно в связанной форме, а в растениях в виде фитина.
Высокое содержание инозита в ряде внутренних органов предполагает достаточно интенсивное его усвоение. В крови инозит обнаружен и в свободном виде в концентрации 0,37—0,76 мг%.
Дополнительным источником инозита является его синтез в кишечнике. Сульфаниламиды и некоторые другие лекарственные вещества могут подавлять его образование микрофлорой.
Выведение инозита с мочой невелико (12 мг в сутки). Оно резко возрастает при сахарном диабете и хроническом нефрите. Зависимость выведения инозита с мочой от его содержания в рационе не наблюдается. Даже при приеме мезоинозита или инозитфосфата в дозе до 4 г не выявлено повышения экскреции инозита. Инозит в организме разрушается с образованием глюкуроновой кислоты с последующим ее окислением. Он обнаружен в спинномозговой жидкости, причем его содержание снижается при менингите и эпидемическом энцефалите. При туберкулезном менингите его концентрация, напротив, возрастает.
Применение инозита сопровождается снижением повышенного уровня холестерина, характерного для некоторых заболеваний (диабет, атеросклероз, липоидный нефроз). Важно, что инозит оказывает влияние и на обмен фосфолипидов. Инозит с лечебной целью используют при болезнях печени. В медицинской практике применяется фитин преимущественно как источник фосфора при нервных болезнях (истерия, неврастения и др.), стимуляции. кроветворения. Его назначают внутрь в дозе 0,25—0,5 г 3 раза в день в течение 6—8 недель.
История открытия парааминобензойной кислоты тесно связана с началом изучения и практического применения сульфаниламидных препаратов. Впервые о наличии вещества, обладающего витаминными свойствами, сообщил Stemp (1939). Этот фактор был необходим для размножения микроорганизмов. Затем было показаано, что вещество, выделяемое из Streptococcus haemoliticus, способно снизить бактериостатический эффект введения сульфаниламидов. Этим веществом оказалась парааминобензойная кислота. Позднее она была выделена из дрожжей.
История изучения парааминобензойной кислоты тесно связана с развитием химиотерапии, в частности с применением в клинике сульфаниламидов. Было показано, что сульфаниламиды, являясь структурными аналогами парааминобензойной кислоты, могут конкурентно замещать ее в ферментных системах микробов, вызывая остановку их роста и размножения. Правда, не все микробы нуждаются в парааминобензойной кислоте. Так, туберкулезные микобактерии способны ее синтезировать достаточно интенсивно. Доказано, что и другие виды микроорганизмов способны синтезировать парааминобензойную кислоту, причем повышенное образование ее сопровождается снижением синтеза витамина B12. Отдельные виды дрожжей чувствительны к дефициту парааминобензойной кислоты и не реагируют на добавление фолиевой кислоты, что позволяет использовать их в качестве тест-культуры для выявления присутствия парааминобензойной кислоты. Интересно, что в организме животного в отличие от опытов с чистыми культурами антагонизм между парааминобензойной кислотой и сульфаниламидами проявляется лишь при содержании животных на диетах, бедных парааминобензойной кислотой. При нахождении животных на молочной диете этого антагонизма не наблюдалось. Таким образом, история открытия и изучения парааминобензойной кислоты по существу является началом разработки большого раздела витаминологии и химиотерапии — учения об антивитаминах.
Два структурных аналога парааминобензойной кислоты с расположением радикалов в орто- и мета-положениях биологически неактивны.
Парааминобензойная кислота — кристаллическое вещество, белое с желтоватым оттенком, имеет точку плавления 186 — 187°. Трудно растворима в воде, легче в спирте и эфире. Химически стойкая, выдерживает кипячение в кислой и щелочной среде. В медицине широко используются аналоги парааминобензойной кислоты, обладающие антагонистическим действием, — сульфаниламиды. Они применяются при инфекционных заболеваниях в качестве бактериостатических средств. Используются также производные парааминобензойной кислоты (новокаин, анестезин и др.), обладающие местным анестезирующим действием.
Парааминобензойная кислота широко распространена в пищевых продуктах Впервые ее выделили из дрожжей. В значительных количествах она обнаружена в печени (2,5 мкг/г), почках (1,8 мкг/г), сердце (1,35 мкг/г), мышцах (0,64-1,7 мкг/г), дрожжах (4 мкг/г) и грибах (1,3 мкг/г). В других пищевых продуктах — коровьем молоке (0,1 мкг/r), куриных яйцах (0,4 мкг/г), картофеле (0,36 мкг/г), моркови (0,22 мкг/г), шпинате (0,6 мкг/г), пшенице (0,6 мкг/г) ее содержится значительно меньше.
Сведения об обмене парааминобензойной кислоты в организме весьма ограничены и противоречивы. Принятая внутрь парааминобензойная кислота частично всасывается в верхних отделах кишечника, частично используется микрофлорой толстого кишечника для синтеза фолиевой кислоты. Парааминобензойная кислота обнаружена в крови в значительных количествах (2—70 мкг%). С мочой она выводится преимущественно в ацетилированном виде. Ацетилирование происходит при участии коэнзима А. По уровню выделения парааминобензойной кислоты в свободной и ацетилированной форме после приема нагрузочной дозы косвенно судят об активности этой энзимной системы. Содержание в крови и выведение из организма с мочой парааминобензойной кислоты изменяется при различных заболеваниях.
Также изменяется отношение свободной и связанной форм парааминобензойной кислоты. В свободном виде ее выводится от 66 до 280 мкг, в связанном — от 820 до 3340 мкг в сутки. Наиболее высокое выведение отмечено у больных сердечно-сосудистыми заболеваниями, минимальное — при хроническом гепатите, холецистите и болезни Боткина. В крови при некоторых заболеваниях (язвенная болезнь, болезнь Боткина и др.) ее содержание может быть очень высоким. С калом выводится до 250 мкг парааминобензойной кислоты. После нагрузки от 1 до 4 г парааминобензойной кислоты максимальная концентрация ее в крови наступает через 2 часа, а за 12 часов она полностью выводится с мочой.
Коферментные функции парааминобензойной кислоты не установлены, хотя она и обладает широким спектром физиологического действия на организм. Являясь составной частью фолиевой и фолиновой кислот, парааминобензойная кислота способствует синтезу пуринов и пиримидинов, а следовательно, РНК и ДНК. Она оказывает влияние на обмен некоторых биогенных аминов. В частности, доказано ее антигистаминное действие, что может иметь значение для клиники, особенно при применении препарата в послеоперационном периоде.
Парааминобензойная кислота оказывает влияние на функцию щитовидной железы. Длительное введение больших доз препарата приводит к подавлению секреции тироксина и гиперплазии щитовидной железы. Парааминобензойная кислота влияет и на обмен других гормонов. Так, она замедляет окисление адреналина. Под ее влиянием нормализуется экстральный цикл при олиноменореях. Потребность человека в парааминобензойной кислоте, а также проявления специфической недостаточности этого пищевого фактора не установлены. В опытах на черных крысах исключение парааминобензойной кислоты из рационов приводило к поседению. При дефиците парааминобензойной кислоты в рационе коров и крыс наблюдаются нарушения лактации. Считается также, что присутствие этого вещества необходимо в корме птиц. В отношении потребности многих микроорганизмов в парааминобензойной кислоте получены убедительные данные.
Парааминобензойная кислота практически нетоксична, гипервитаминоз не описан, однако при передозировке могут наблюдаться депрессивное состояние, гипотония, видимо, за счет снижения продукции тироксина.
В медицинской практике парааминобензойная кислота не нашла широкого применения, хотя экспериментально и в клинике применялась с лечебной и профилактической целью при различных заболеваниях. Использование парааминобензойной кислоты в больших дозах (4—6 г в сутки) в комплексной терапии риккетсиозов (сыпного тифа) оказалось весьма эффективным. Снижалась смертность от данного заболевания, по сравнению с обычными терапевтическими мерами раньше наступали снижение температуры и выздоровление. Парааминобензойная кислота снижает токсичность некоторых веществ, в частности мышьяка и сурьмы.
Парааминобензойная кислота в дозе 0,1—0,5 г использовалась при лечении больных атеросклерозом и гипертонической болезнью. В результате курсовой терапии длительностью 20 дней отмечалось улучшение общего самочувствия, повышалась работоспособность. Препарат нормализовал липоидный и белковый обмен.
Липоевая кислота является одним из самых «молодых» витаминов, так как история ее открытия связана с 40-ми годами прошлого столетия. Опыты, проводившиеся почти одновременно в нескольких лабораториях, выявили, что реснитчатые простейшие, молочнокислые бактерии, некоторые виды стрептококков нуждаются для нормального роста в каком-то низкомолекулярном факторе, не являвшимся известным к тому времени витамином или его производным. На основании изучения метаболических эффектов этого фактора он получил в различных лабораториях самостоятельные названия: ацетатзамещающий фактор, фактор окисления пирувата, протоген, BR-фактор.
В 1951 г. были выделены в кристаллическом состоянии два вещества, обладавших высокой биологической активностью и получивших названия α- и β-липоевых кислот. Несколько, позже выяснилось, что α-липоевая кислота, представляющая главную форму соединения, присутствующего в тканях, является восьмиуглеродной органической кислотой, содержащей дисульфидный мостик между 6-м и 8-м атомом . Другое обнаруженное в печени соединение — β-липоевая кислота — является сульфоксидом α-липоевой кислоты.

Физико-химическая характеристика. Полученная синтетически α-липоевая кислота представлена смесью право- и левовращающих изомеров, из которых только первый обладает биологической активностью. Естественная, природная, правовращающаяся форма липоевой кислоты плавится при 46—48°С, а синтетически полученный DL-рацемат — при 60-61°С.
Липоевая кислота имеет рКа=4,7, обладает двумя максимумами поглощения в ультрафиолетовых лучах (280 и 332 нм). Липоевая кислота легко образует с различными меркаптанами смешанные дисульфиды, а при 65°С полимеризу-ется, образуя межмолекулярные дисульфидные мостики.
Вещество фотоактивно и при освещении присоединяет остатки воды, что дало повод считать его возможным участником фотосинтетических реакций.

Пятичленная структура части молекулы, включающей дисульфидную связь, абсолютно необходима для проявления биологической активности, как и присутствие обоих атомов серы. Удлинение углеводородной цепи на одну метильную группу дает соединения со свойствами специфического антиметаболита. Амид липоевой кислоты в 4 раза менее активен, а 6,8 - димеркантооктанол совершенно неактивен.
Методы определения, распространение, потребность. Для малых количеств липоевой кислоты наиболее приемлемы микробиологические методы определения. Некоторое представление о распределении липоевой кислоты по различным тканям и органам дает таблица.
| Ткани | Активность | Ткани | Активность |
| Печень | 7,4 | Надпочечник | 1,9 |
| Почка | 7,2 | Мышца | 1,5 |
| Сердце | 5,3 | Селезенка | 1,2 |
| Мозг | 2,0 | Легкое | 1,1 |
| Поджелудочная железа | 2,1 | Щитовидная железа | 0,8 |
На стандартной казеиновой диете у крыс определяется в сыворотке крови 1,73±0,25, в печени — 365±57, в почках — 213±10 и в яичках — 44±9 мкг% липоевой кислоты.
Липоевая кислота широко распространена в природе (растения, микроорганизмы) в основном в связанной форме. Наибольшее количество ее находят в митохондриях и хлоропластах.
Ориентировочная потребность для человека составляет 1—2 мг липоевой кислоты в сутки .
Роль в обмене веществ. Окислительно-восстановительные реакции, в которых участвует липоевая кислота как неспецифический агент, касаются преимущественно тиол-дисульфидных превращений активных групп самых различных белков, в том числе и ферментных.

Именно этим можно объяснить кажущуюся пестроту эффектов, наблюдаемых в различных опытах in vitro и in vivo с этим соединением. Специфическую коферментную роль липоевая кислота выполняет в реакции окислительного декарбоксилирования α-кетокислот (см. главу «Тиамин»), где она участвует в переносе ацильных остатков и сопряженных с этим процессом окислительно-восстановительных превращениях. Суммарная реакция состоит из нескольких отдельных этапов, связанных каждый со специфическим ферментом, входящим в общий жестко структурированный комплекс. Первым звеном, в котором принимает участие липоевая кислота в своей окисленной (дисульфидной) форме, является реакция взаимодействия с активным альдегидным радикалом, образовавшимся после декарбоксияирования соответствующей α-кетокислоты при участии тиаминдифосфата (ТДФ). Эта реакция по существу является восстановительным ацилированием липоевой кислоты и может быть воспроизведена даже в модельных опытах. В ферментной системе та же реакция происходит с каталитическими количествами липоевой кислоты, связанной амидной связью со специфическим ферментом липоилацилтрансферазой. Приведенный механизм можно рассматривать как процесс окисления альдегидного остатка еще до переноса его на липоевую кислоту, т. е. как образование ацетил-ТДФ и последующего переноса уже готового ацетильного радикала.
Вторым этапом той же реакции переноса ацильного радикала является взаимодействие ацил-липоата с коферментом А, представленное схематически.

Фермент, осуществляющий регенерацию окисленной формы липоевой кислоты, назван липоилдегидрогеназой. Выяснение структуры ферментов, содержащих в своем составе липоевую кислоту, теснейшим образом связано с изучением всего комплекса дегидрогеназы α-кетокислот. Вся липоевая кислота присутствует там в форме амида с ε-аминогруппой лизина ферментного белка.
Фармакологическая характеристика, лечебное применение. Кролики переносят без токсических явлений дозу 100 мг/кг липоевой кислоты, введенной внутривенно. Для мышей LD50 при внутрибрюшинном введении составляет 275 мг/кг. Людям липоевая кислота назначается по 10— 20 мг внутривенно или по 10—25 мг 3 раза в день . Более высокие, чем терапевтические, дозы (в пересчете на 1 кг веса) вызывают у животных жировую инфильтрацию.
Два обстоятельства учитываются при обосновании лечебного применения липоата: биохимические представления о роли липоевой кислоты в обмене веществ (превращения α-кетокислот, тиолдисульфидный характер соединения) и выраженное гепатотропное действие препарата. В первом случае показано, что лечебные дозы липоевой кислоты обладают слабым гипогликемическим действием, заметно усиливают лечебное действие сульфанилмочевины при экспериментальном сахарном диабете, активируют потребление глюкозы и пирувата тканями, повышая соответственно уровень гликогена в печени . При атеросклерозе и гипертонической болезни у людей липоевая кислота незначительно снижает уровень холестерина и общих липидов в сыворотке крови .
Наличие активных тиоловых групп у липоевой кислоты может быть весьма эффективно использовано для защиты оксигемоглобина от сильных окислителей, от повреждающего действия четыреххлористого углерода на печень , от токсического действия тяжелых металлов, аллоксана или гистамина. У больных с обострением хронического гепатита и при циррозах печени липоевая кислота (по 25 мг внутрь 3 раза в день в течение 15—30 дней) у большинства обследованных улучшала общее самочувствие, снимала или ослабляла боли и чувство тяжести в правом подреберье.
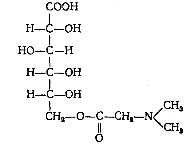
Пангамовая кислота впервые выделена Krebs (1951) из ядер абрикосовых косточек. Позднее ее выделили из других растительных и животных объектов. Предполагалось, что она широко распространена в пищевых продуктах, в связи с чем и получила такое название (пан - всюду, гами - семя). В 1953 г. веществу, выделенному из печени, было присвоено название витамина В15. Оказалось, что по химическому составу оно идентично пангамовой кислоте. Krebs и соавторы (1955) расшифровали состав пангамовой кислоты и осуществили ее синтез. Пангамовая кислота имеет молекулярный вес 281 и является эфиром глюконовой кислоты и диметилглицина (глюконодиметиламиноацетат). Соли пангамовой кислоты хорошо кристаллизуются. Пангамовая кислота имеет следующую структурную формулу:

В медицинской практике используются соли пангамовой кислоты. Благодаря наименьшей гигроскопичности в промышленном масштабе получают пангамат кальция. Известно комплексное соединение пангамовой кислоты с аргинином, также применявшееся в лечебной практике. Пангамат кальция содержит две молекулы пангамовой кислоты. Его молекулярный вес 618,7. В одной молекуле соли содержится четыре метальных группы. Важным свойством пангамовой кислоты является то, что ее метальные группы связаны с азотом. Это определяет их лабильность, подобно метильным группам холина и метионина. Кальциевая соль пангамовой кислоты также хорошо растворима в воде, нерастворима в спирте, ацетоне, органических растворителях, устойчива в кислой среде.
Пангамовая кислота выделена из дрожжей, печени, крови быка, ростков риса. В связи с отсутствием методов определения пангамовой кислоты более подробные сведения о ее содержании в пищевых продуктах отсутствуют. Прием препарата внутрь или его парентеральное введение сопровождается изменениями многих сторон обмена веществ и некоторых физиологических функций как в норме, так и при ряде патологических состояний. Распространение в пищевых продуктах, а также наличие эффектов при введении малых доз пангамовой кислоты позволило условно отнести ее к группе витаминов, хотя нет сведений о том, какова потребность организма человека и животных в этом веществе. Отсутствуют также сведения о проявлениях дефицита этого витамина в организме.
Не исключено, что потребность в пангамовой кислоте покрывается любым рационом, поскольку предполагаемая потребность в ней организма человека — 2 мг в сутки. При широком распространении пангамовой кислоты в пищевых продуктах покрыть такую величину потребности нетрудно.
Пангамовая кислота не токсична. Ее доза, вызывающая эритему, равна 14700+65 мг/кг, т. е. в 105 выше, чем минимальная доза. Токсичность препарата проверялась на белых мышах, сурках, хомяках, кроликах, курах, индюках, собаках при подкожном и внутримышечном введении, нанесении на кожу. Кроме того, 20 добровольцам было сделано» 90000 внутримышечных инъекций по 1,5—10 мг. После внутривенных инъекций иногда наблюдается временное покраснение кожи, подобное реакции на введение никотиновой кислоты.
Витаминные свойства пангамовой кислоты нуждаются в подтверждении. Нет данных также о коферментных функциях пангамовой кислоты.
Вместе с тем прием пангамовой кислоты или ее парентеральное введение оказывает многообразное влияние на организм человека и животных, поэтому более правильно отнести ее к природным физиологически активным веществам.
Структура пангамовой кислоты позволила предполагать, что данное соединение может служить источником метильных групп.
С момента открытия пангамовой кислоты, осуществления ее синтеза и производства в необходимых количествах она применялась в клинике при различных заболеваниях. Пангамат кальция применяли при сердечно - сосудистых заболеваниях, полагая, что он окажется эффективным благодаря его антигипоксическому эффекту и липотропному действию. Хорошие результаты получены при атеросклерозе. Препарат вызывает положительные биохимические сдвиги, которые свидетельствуют о снижении гипоксии тканей. Пангамат кальция положительно влияет на липоидный обмен у больных атеросклерозом: снижается уровень холестерина и β-липопротеидов, а содержание лецитина и альбуминов увеличивается. Витамин b15 снижает или полностью устраняет сердечно-сосудистую недостаточность, оказывает стимулирующее влияние на дыхание мышцы сердца, что было подтверждено прямыми измерениями во время операции на сердце. Чаще всего о степени эффекта судят на основании анализа электрокардиографических данных.
Весьма благоприятные данные получены при использовании пангамата кальция в комплексной терапии облитерирующего эндоартериита. Снижался или исчезал болевой синдром, повышалась кожная температура дистальных отделов конечности, что свидетельствовало об улучшении кровообращения в пораженной конечности.
Витамин В15 является донатором метальных групп, поэтому его использовали в терапии заболеваний печени — циррозов и гепатита. Под влиянием пангамата кальция нормализовался пигментный обмен: снижалось содержание билирубина в крови, уменьшалась желтуха. Отмечено повышение антитоксической функции печени и ряд других положительных сдвигов. Пангамат кальция оказался эффективным при гепатитах средней тяжести и малоэффективным при циррозах. Сведения об участии пангамовой кислоты в окислении этанола послужили основанием для использования его в терапии хронического алкоголизма. Некоторые авторы наблюдали положительный эффект пангамата кальция при данной патологии.
Рекомендуемые суточные дозы для взрослого 150—300 мг (1—2 таблетки по 50 мг 3 раза в день).
Карнитин часто рассматривается как витамин. Он описан раньше, чем расшифрована его структура. Карнитин является β-окси-γ- триметиламиномасляной кислотой и имеет следующее строение:

В организме животных и человека наиболее вероятным источником образования карнитина является глютаминовая кислота, из которой предварительно путем декарбоксилирования образуется α-амино-γ-оксимасляная кислота. Особенно много карнитина содержится в мышцах (20—50 мг%). Он обнаружен также в фильтрате дрожжевого и печеночного экстрактов, мышцах позвоночных и беспозвоночных. Карнитин необходим для развития личинок печеночного червя (Tenebrio malitur). В отсутствие этого вещества личинки погибают в период линьки. Эти данные позволили отнести карнитин к группе витаминов. Он необходим и для развития многих других насекомых.
Каких-либо убедительных доказательств в пользу необходимости поступления карнитина с пищей для человека и животных не получено, хотя применение экстрактивных веществ мышц (бульоны) с целью стимулирования процессов обмена при гипотрофии общеизвестно. Правда, объяснить их действие лишь присутствием карнитина не представляется возможным. Карнитин содержится в организме в больших количествах, что не позволяет с уверенностью причислить его к группе витаминов, хотя активное участие карнитина в обмене веществ несомненно.
В организме беспозвоночных он участвует в процессах трансметилирования; не исключена подобная роль и в организме млекопитающих. Более полно расшифровано участие карнитина в окислении высших жирных кислот. При участии КоА производные жирных кислот вступают в реакцию трансацетилирования, причем акцептором ацильного радикала служит карнитин. Эта реакция осуществляется с целью преодоления барьера митохондриальных мембран. Проникнув внутрь митохондрий, карнитин отдает радикал на окислительные ферменты. Таким образом, карнитин участвует в окислении жирных кислот и, кроме того, в процессе синтеза жирных кислот, где его роль состоит во включении в цепь жирных кислот тех веществ, которые могут служить источником внутри митохондриального ацетил-КоА. В этом случае он выступает в качестве донатора ацетильных групп. Таким образом, карнитин с полным правом может быть отнесен к физиологически активным пищевым веществам. Однако для включения его в группу витаминов в настоящее время нет достаточных оснований.
В 1942 г. Cheney и соавторы обнаружили, что некоторые продукты питания (овощи, зелень, сырое молоко, печень) предотвращали или задерживали развитие язвенной болезни желудка, вызванной у цыплят алкалоидом цинкофеном. На этом основании авторы высказали предположение, что язвенная болезнь вызывается недостатком особого, неизвестного пищевого фактора, содержащегося в овощах (больше всего в капусте) и относящегося, по-видимому, к витаминам. Он предложил назвать это вещество витамином U от латинского слова «ulcus» — язва.
Химические и физические свойства. В соках сырых овощей и прежде всего в капустном соке обнаружены соли метилметионинсульфония бромида. Это соединение (MMS) еще в 1940 г. синтезировал Toennies из метионина, и тогда же было высказано предположение о его возможной роли в обмене веществ в организме. Кристаллический препарат MMS, оказавшийся в 1000 раз активнее капустного сока, выделен из спаржи и свежих томатов.Это белый порошок сладковато-солоноватого вкуса со слабым запахом капусты, хорошо растворимый в воде, водных растворах спиртов, нерастворимый в абсолютном этиловом спирте, глицерине, эфире. Кристаллы эти гигроскопичны, термолабильны и потому не выдерживают стерилизации. В сухом виде соли MMS устойчивы, но при длительном хранении (до года) могут разлагаться.

MMSCL является активированной формой метионина с высоким энергетическим действием и может быть весьма активным донатором метильных групп. Этим, по-видимому, объясняется его стимулирующее регенерацию действие при повреждениях слизистых оболочек желудочно-кишечного тракта.
Наряду с метилметионинсульфонием-хлоридом были выделены также его бромид-, йодид- и сульфат-формы. Эти соединения выделены давно, но не применялись в лечебной практике до тех пор, пока не было обнаружено противоязвенное действие растительных соков.
Распространение в природе. Содержание MMS в экстрактах из некоторых растительных продуктов приведены в таблице:.

Обмен витамина U в организме. Toennies в 1940 г. впервые высказал предположение, что S-метилметионин по механизму участия в обмене аналогичен веществам типа холина и бетаина. По данным Stecol (1955), метильная группа MMS может быть использована для синтеза холина и креатина.
Профилактическое и лечебное применение Считается, что наилучший эффект лечения капустный соком наблюдается при нормо-, гипо- и анацидных формах язвенной болезни.
Лечение капустным соком дало также положительные результата при язвенном инфекционном колите, спастическом колите и гепатитах.
При ахлоргидрии лечение витамином U в 80% случаев повышает кислотность желудочного сока. Витамин U улучшает моторную функцию тонкого и толстого кишечника, а также желчного пузыря.
Метилметионинсульфония хлорид при назначении в дозе 200 мг в день в течение 30 дней оказывает благоприятное влияние на течение язвенной болезни желудка и двенадцатиперстной кишки. Сравнительно быстро исчезали диспепсические явления и нормализовалась желудочная секреция. Многие авторы рекомендуют витамин U при лечении язвенной болезни с сопутствующими заболеваниями (хронический холецистит и хронический панкреатит).
Механизм лечебного действия MMS, возможно, заключается в том, что группа сульфония богата энергией и служит донатором свободных метильных групп для ряда анаболических процессов, способствующих регенерации слизистой оболочки желудка и повышению ее сопротивляемости действию соляной кислоты и пепсина. Имеется предположение, что MMS улучшает обмен тиамина и холина, в частности в слизистой оболочке желудка, и повышает ее резистентность к возникновению язв.
Испытание солей MMS на токсичность показали, что соли MMS (хлорид, йодид, метасульфат и нафталин 1,5-дисульфонат) переносились животными хорошо и LD5o были очень высоки. При этом наблюдались нарушения координации движений, спазмы бронхов, судороги и гибель животных.
Автор статьи: доцент кафедры биохимии МБФ РГМУ, к.м.н. Адрианов Николай Владимирович. Специально для ООО "Электронная Медицина".