Научная статья о жизнь и периодическая система.
Научная статья о жизнь и периодическая система.
Для всего живого характерно избирательное отношение к окружающей среде. Свидетельством такого избирательного подхода служит разительное отличие элементарного состава живых организмов от набора элементов, которые входят в состав земной коры и потому вполне доступны для этих организмов. Больше всего в земной коре кислорода, кремния, алюминия, натрия, кальция, железа, магния и калия, на все же остальные вместе взятые элементы приходится менее 1%. Живые организмы построены главным образом из водорода, кислорода, углерода и азота, на остальные элементы здесь также приходится менее 1%. Таким образом, если не считать кислорода, между элементами, наиболее обильно представленными в живой и неживой природе, перекрывания нет. Кислород —самый тяжелый из преобладающих элементов живой материи и, наоборот, самый легкий из преобладающих элементов земной коры. Отсюда можно заключить, что живые системы из доступных им элементов земной коры и атмосферы выбирают именно легкие элементы.
Замечательно, что живая материя в этом отношении сильнее напоминает Вселенную в целом. Звезды, равно как и межзвездное вещество, состоят главным образом из легких элементов.
| Элемент | Атомный номер | Относительное содержание в ат.,% | Организм человека | |
| Вселенная | Земная кора | |||
| Водород | 1 | 90,79 | 63 | |
| Углерод | 6 | 9,08 | 10,5 | |
| Азот | 7 | 0,0415 | 2,42 | |
| Кислород | 8 | 0,0571 | 62,55 | 25,5 |
| Натрий | 11 | 0,00012 | 2,64 | 0,73 |
| Магний | 12 | 0,0023 | 1,84 | 0,01 |
| Алюминий | 13 | 0,00023 | 6,47 | |
| Кремний | 14 | 0,026 | 21,22 | 0,00091 |
| Фосфор | 15 | 0,00034 | 0,134 | |
| Сера | 16 | 0,0091 | 0,132 | |
| Хлор | 17 | 0,00044 | 0,032 | |
| Калий | 19 | 0,000018 | 1,42 | 0,036 |
| Кальций | 20 | 0,00017 | 1,94 | 0,226 |
| Железо | 26 | 0,0047 | 1,92 | 0,00059 |
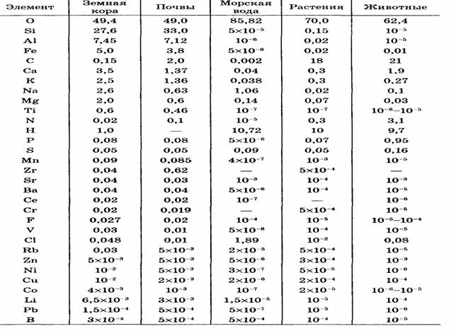
Наша Земля — это всего лишь «минеральный прах» из тяжелых элементов, оставшихся после того, как легкие элементы улетучились в космическое пространство вследствие слабого гравитационного притяжения нашей крошечной планеты. Вопрос о том, случайно ли это совпадение или же в биологических системах как бы законсервировался химический состав среды, которая окружала жизнь в момент ее возникновения, остается предметом чисто теоретических споров. Как указывают Ю. А. Ершов с соавторами (2000 г.), в процессе эволюции от неорганических веществ к биоорганическим, основой использования тех или иных химических элементов при создании биосистемы является естественный отбор. В таблице приведены данные о содержании химических элементов в земной коре, морской воде, растительных и животных организмах.


Из таблицы видно, что большую долю вещества живых организмов составляют элементы, которые имеют довольно высокую распространенность в земной коре. Однако эта закономерность соблюдается не всегда. Так, в земной коре содержится много кремния (27,6%), а в живых организмах его мало. Аналогичная ситуация прослеживается и для алюминия, который в большом количестве содержится в земной коре (7,45%) и в очень незначительном в живых организмах (1х 10ˉ8 %). Непропорциональное содержание элементов в организме и среде связано с тем, что на усвоение элементов влияет растворимость их природных соединений в воде. Природные соединения кремния (SiO2), алюминия (А12О3) практически нерастворимы, поэтому они не усваиваются живыми организмами. Наблюдается и обратная картина. Например, органоген углерод в незначительных количествах содержится в земной коре (0,35%), а по содержанию в живых организмах занимает второе место (21%).
Таким образом, по мере движения ряда химических элементов по пищевой цепи происходит их биологическое концентрирование, как, например, в случаях с углеродом, азотом, кислородом, фосфором или кальцием, который извлекается из окружающей среды для построения скелета живого организма. Следует отметить, что химические элементы распространены в окружающей среде очень неравномерно. Обращает на себя внимание огромное содержание таких микроэлементов (по отношению к человеческому организму) как Si, Al, Fe, Zr, Mn, Zn, а также макроэлементов К, Ca в земной коре (верхней литосфере) и их небольшие концентрации в пресной, морской воде и атмосфере. Однако в биосфере происходит накопление многих из этих элементов, их концентрирование, что свидетельствует о высокой потребности в них живых организмов для осуществления процессов жизнедеятельности. В биосфере концентрируются такие химические элементы, как О, К, S, С, Р, Cl, N, Sn, As, относительно высоко содержание Са, В, Zn, Ba, Sr, Rb, Cu, Pb. В связи с различными средами обитания существенно различаются концентрации химических элементов в морских и наземных растениях и животных. Так, в «дарах моря» растительного и животного происхождения сконцентрированы такие элементы, как Са, К, Na, Mg, S, Cl, 0, Zn, Cu, Mn, Fe, J, Ni, Ti, Sr, Zn, Cr, Li, B, Li. Предоставляемые человеку на суше «дары природы», в целом менее богаты макро- и микроэлементами, однако следует выделить N, С, F, а также Мn и Аl, содержание которых в наземных растениях выше, чем в морских в 10 раз. Наземные растения являются основным источником такого важного микроэлемента, как Мn, а морские — Са, Fe, Zn, Si, Li и J. Представители наземной фауны служат основным резервом для обеспечения человека Р, N, H, т. е. макроэлементами и чрезвычайно бедны Сг, V, Мn, элементами, принимающими активное участие в регуляции углеводного и жирового обмена, толерантности к глюкозе. В свою очередь, представители морской фауны накапливают в себе повышенные количества Zn, Со, Сu. Таким образом, поступление химических элементов с пищей может существенно различаться в зависимости от режима питания, доступности, например, морепродуктов для широких слоев населения. Все это не может не сказываться на суточном балансе поступления элементов в организм человека. Следовательно, в основном химические элементы поступают в организм человека с пищевой водой и пищей. Исключение составляет только Si, большие количества которого могут попадать в организм ингаляционным путем в виде пыли, песка, или в виде различных соединений этого элемента. В приморских районах и на небольших островах в виде аэрозолей и испарений в организм могут попадать существенные количества йода. Выделение же химических элементов происходит более разнообразными путями. Так, с мочой преимущественно выделяется Se, Fe, I, Co, Cd, В, Вг, Ge, Mo, Nb, Rb, Cs, Те и Sb. С потом в основном выделяется Se, F, Pb, Sn, Ni, а с волосами Hg. И все же основные количества химических элементов элиминируются из организма с калом. Пути поступления химических элементов в организм человека разнообразны. Основные количества химических элементов попадают в организм с пищей и питьевой водой, меньшие — с вдыхаемым воздухом и через кожу. В случаях длительного лечения препаратами, содержащими макро- или микроэлементы, основным путем поступления могут становиться фармакологические средства и биологически активные добавки к пище, вводимые в организм энтеральным или парентеральным путем. В результате неконтролируемого приема подобных препаратов у части людей могут возникать так называемые «ятрогенные» (вызванные лечением) микроэлементозы. На рисунке (цитируется по А.В.Скальному) представлена схема обмена микроэлементов в организме человека. Как следует из этой схемы, обмен химических элементов зависит от их поступления из окружающей среды, а также взаимодействия внутри организма, особенностей нейроэндокринной регуляции и выведения из организма.

Попав в организм человека, химические элементы распределяются между органами и тканями, избирательно накапливаясь в них. Макро- и микроэлементы неравномерно распределяются между разными органами и тканями. Самые большие концентрации химических элементов можно обнаружить в костной ткани, коже и ее придатках, печени и мышцах. Концентрация того или иного химического элемента в определенной части тела, как правило, отражает его значимость для функционирования органа или ткани. Так, йод максимально накапливается в щитовидной железе, что определяет его основополагающее влияние на деятельность этого органа эндокринной системы. Фтор накапливается в эмали зубов; цинк в половых органах, коже, волосах, поджелудочной железе; железо в эритроцитах и т. д. Хотя в живых системах обычно обнаруживаются следы всех элементов, присутствующих в окружающей среде, однако необходимых для жизни элементов, без которых она не может обойтись, насчитывается всего около двадцати. Эти элементы чаще всего делят на три категории в соответствии с их концентрацией в клетке: основные элементы, следовые элементы, или микроэлементы, и ультрамикроэлементы. Для разных видов общий набор элементов может различаться. Некоторые из элементов имеют универсальное значение (Н, С, N, О, Na, Mg, Р, S, Са, К и С1); другие требуются хотя и не всем, но многим видам (Fe, Cu, Mn, Zn). Вопрос об универсальности остальных элементов, встречающихся в живых организмах (В, V, Si, Co, Mo), пока не решен. Изучение незаменимых ультрамикроэлементов — нескончаемое занятие: никогда нельзя быть уверенным, что тот или иной элемент действительно не требуется, а получить доказательства того, что он, напротив, необходим, с методической стороны дело крайне сложное. В работе с ультрамикроэлементами приходится использовать сверхчистую воду и реактивы и даже сверхчистую стеклянную посуду. О потребности в некоторых ультрамикроэлементах даже не подозревали до тех пор, пока не было обнаружено, что почти полное отсутствие их в определенных почвах служит причиной заболеваний и разного рода нарушений у растений и животных. Отсутствие меди в почвах некоторых областей Австралии вызывает у овец болезнь, при которой отмечается стойкое поражение нервной системы, анемия и ухудшение состояния волосяного покрова. Многие болезни растений (гниль сердечка у свеклы, ломкость стеблей у сельдерея и проч.) вызываются недостатком бора в почве. Потребность в таких ультрамикроэлементах, как бор, легче всего продемонстрировать, добавляя их в почву: при одной сотой части бора на миллиард частей почвы растения заболевают; одной десятой части бора на миллиард частей почвы достаточно для излечения заболевания, а одна часть на миллиард—это уже яд для растений. Какова же роль этих двадцати с небольшим элементов в живой машине? Элементы Н, С, N, О, Р и S—это строительные блоки, кирпичики, из которых состоят органические соединения клетки. Таким образом, основу живых систем составляют 6 элементов, так называемых органогенов. Повторим, что к ним относятся углерод, водород, кислород, азот, фосфор и сера. Органогены по своему содержанию в организме относящиеся к макроэлементам, составляя 97,4% массы живого организма, и играют важнейшую роль в поддержании жизнедеятельности. Для органогенов характерно образование водорастворимых соединений, что способствует их концентрированию в живых организмах. Разнообразие биомолекул в живых организмах определяется способностью органогенов к образованию множества различных химических связей. Из органогенов, или «органических макроэлементов», в основном состоят углеводы, белки, жиры и нуклеиновые кислоты. Главная функция макроэлементов состоит в построении тканей, поддержании постоянства осмотического давления, ионного и кислотно-основного состава. Все углеводы и липиды содержат Н, С и О, белки, кроме того, содержат N и S, а нуклеиновые кислоты содержат N и Р. Таким образом эти шесть элементов — главные элементы живой материи. Их способность в различных перестановках и сочетаниях создавать все бесконечное молекулярное разнообразие клетки обусловливает их исключительную пригодность в качестве компонентов живых систем. Вещества, из которых строятся клетки, крайне разнообразны по своей природе — от газообразной двуокиси углерода до жидкой воды и твердой целлюлозы, от сильно полярных аминокислот до менее полярной глюкозы и неполярных жиров. Иногда можно услышать предположение, что в других планетных системах углерод, возможно, заменен кремнием. На наш взгляд, это крайне маловероятно, если учесть все разнообразие соединений и широчайший спектр свойств мира углерода; трудно думать, чтобы все это могло быть дублировано миром кремния. Микроэлементы (МЭ) — это группа химических элементов, которые содержатся в организме человека и животных в очень малых количествах, в пределах 10ˉ3-10ˉ12% от общей массы тела. Единственной характерной чертой МЭ является их низкая концентрация в живых тканях. МЭ это не случайные ингредиенты тканей и жидкостей живых организмов, а компоненты закономерно существующей очень древней и сложной физиологической системы, участвующей в регулировании жизненных функций организмов на всех стадиях развития. Исходя из современной квантомеханической интерпретации периодической системы, классификация этих элементов проводится в соответсвии с их электронной конфигурацией. Она основана на степени заполнения различных электонных орбиталей(s, p, d, f) электронами. В соответствии с этим элементы подразделяют на s-,p-, d-,f- элементы. В организме человека присутствуют в основном ионы лёгких металлов Na+,K+,Mg2+,Cu2+, относящихся к s-элементам, и ионы Mn2+,Fe2+,Co3+,Cu2+,Zn2+ относящиеся к d-элементам. И только содержащийся в организме тяжёлый d-элемент молибден (Мо) – нарушает общую биогеохимическую установку – построение биологических структур только из лёгких элементов. Все эти металлы встречаются в нашем организме в виде твёрдых соединений или в виде их водных растворов. К s-элементам относятся элементы I и II групп периодической системы. Значение s-элементов для организма огромно. Они участвуют в создании буферных систем организма, обеспечение необходимого осмотического давления, возникновении мембранных потенциалов, в передаче нервных импульсов (Na,К), структурообразования (Mg,Ca). Ионы d-элементов (Zn,Mn,Fe,Cu,Co,Mo,Ni) имеют незаполненные d-электронные слои. Это обуславливает различные степени окисления d-элементов, их способность участвовать в различных окислительно-восстановительных превращениях, возможность образовывать комплексные соединения. По сравнению с рассмотренными выше s-элементами, d-элементы содержатся в организме в значительно меньших количествах. Однако их роль в течении физиологических и патологических процессов в организме человека огромна. Вторую значительную группу элементов составляют токсичные микроэлементы. Если при гипомикроэлементозах (заболеваниях, вызываемых дефицитом эссенциальных МЭ) мы сталкиваемся с болезнями недостаточности, то при контакте организма с токсичными МЭ, возникает синдром интоксикаций (токсикопатий). Сложность проблемы состоит в том, что сами эссенциальные МЭ при определенных условиях могут вызывать токсичные реакции, а отдельные токсические МЭ при определенной дозировке и экспозиции могут обнаруживать свойства эссенциальных МЭ, т. е. оказываться полезными и даже жизненно важными. Поэтому при приеме препаратов, содержащих минералы и микроэлементы очень важно знать суточную потребность человека, а также усвояемость каждого из них в желудочно-кишечном тракте и взаимодействие основных элементов при их одновременном потреблении. По классификации, основанной на количественном признаке, все минеральные элементы делятся на три группы в соответствии с их содержанием в организме: макроэлементы, микроэлементы (МЭ) и ультрамикроэлементы.

Система классификации по количественному признаку проста и удобна, но она не дает ответа на главный вопрос — какова биологическая роль того или иного элемента в организме. Кроме того, количественное содержание некоторых элементов в организме может значительно варьироваться в зависимости от среды обитания человека, его рациона питания и трудовой принадлежности (это утверждение, в частности, относится к фтору, ванадию, селену, стронцию, молибдену и кадмию). По мнению ряда исследователей, микро- и ультрамикроэлементы вообще не следует отождествлять с минеральными веществами по той причине, что в организме они содержатся главным образом в виде органических соединений или комплексов, обладающих биологической активностью. Однако это обстоятельство, по-видимому, не может быть основанием для обособления микроэлементов в особую группу биологически активных веществ. При современном уровне знаний метаболизм любого минерального элемента нельзя рассматривать только лишь в аспекте динамики его неорганических солей. С точки же зрения науки о питании микроэлементы являются столь же необходимыми компонентами питания, как и другие минеральные элементы, независимо от того, в какой форме они поступают в организм. Классификация, основанная на биологической роли элементов, представляет наибольший интерес для физиологов, биохимиков и специалистов в области питания человека. Согласно этой классификации, минеральные элементы, обнаруженные в организме делят на три группы:
| Жизненно необходимые элементы | Вероятно необходимые элементы | Элементы с малоизученной ролью |
| Кальций | Фтор | Литий |
| Фосфор | Кремний | Бор |
| Калий | Титан | Алюминий |
| Хлор | Ванадий | Германий |
| Натрий | Хром | Цирконий |
| Цинк | Никель | Олово |
| Марганец | Мышьяк | Цезий |
| Молибден | Бром | Ртуть |
| Йод | Стронций | Висмут |
| Селен | Кадмий | Торий |
| Сера | Берилий | |
| Магний | Скандий | |
| Железо | Галлий | |
| Медь | Рубидий | |
| Кобальт | Серебро | |
| Сурьма | ||
| Барий | ||
| Свинец | ||
| Радий | ||
| Уран |
Для большинства млекопитающих животных, в том числе и человека, эту классификацию можно представить следующим образом (по В. И. Георгиевскому, Б. Н. Анненкову, В. Т. Самохину, 1979)

Группа эссенциальных элементов включает в себя все макроэлементы, часть микро- и ультамикроэлементов. Это подтверждает мысль о том, что порядок концентрации того или иного микроэлемента в организме еще не определяет его биологического значения. Элемент может быть отнесен к группе эссенциальных, если он удовлетворяет следующим требованиям:
Всем перечисленным требованиям в свете современных данных удовлетворяют 15 элементов.
Даже такой элемент, как фтор, обладающий очевидным профилактическим эффектом против кариеса зубов и, по-видимому, способствующий костеобразованию, не включен в эту группу. Дело в том, что до настоящего времени не удалось воспроизвести симптомы недостаточности фтора в эксперименте при содержании на рационе, дефицитном по этому элементу. Необходимо отметить, что воспроизведение пищевой недостаточности иногда затруднительно вследствие чрезвычайно малой потребности организма в изучаемых элементах и наличия их следов в компонентах очищенного рациона (соевом белке, глюкозе, сахарозе, желатине, казеине и пр.).
Среди 15 жизненно необходимых элементов девять являются катионами — это кальций (Са2+), натрий (Na+), калий (К+), магний (Mg2+), марганец (Мn 2+), цинк (Zn2+), железо (Fe2+), медь (Сu2+) и кобальт (Со2+). Шесть других являются анионами или содержатся в сложных анионных группировках, — хлорид (Сl), йодид (J), фосфат (РО43ˉ), сульфат (SO24ˉ), молибдат (МоО23ˉ) и селенит (SeO23ˉ).
Вероятно, что условно необходимые элементы (или условно эссенциальные) также можно обнаружить в различных биосредах в относительно стабильных количествах, однако они не удовлетворяют всем перечисленным выше требованиям. Участие этих элементов в обменных процессах может ограничиваться отдельными тканями и в ряде случаев требует экспериментального подтверждения.
Что касается элементов, роль которых в организме мало изучена или неизвестна, то многие из них, по-видимому, случайно накапливаются в организме, поступая с пищей и не выполняя какой-либо полезной функции. Однако строго ограничивать группу биогенных элементов тоже нельзя, поскольку возможно открытие биологической роли новых элементов. Например, в последние годы установлена биотическая роль селена, появились экспериментальные и клинические данные об участии в метаболических процессах фтора, хрома, кремния, мышьяка.
Классификация элементов по степени их биогенности, как и две предыдущие, имеет существенные недостатки: она имеет слишком общий вид, не отражает механизма влияния минеральных элементов на организм и не позволяет достаточно точно предвидеть возможную биологическую роль или токсикологический эффект того или иного элемента. В настоящее время исследователи вынуждены давать индивидуальную оценку каждому элементу.
Микроэлементы, входя в состав ферментов, гормонов, витаминов и биологически активных веществ в качестве комплексообразователей или активаторов, участвуют в обмене веществ, процессах размножения, тканевом дыхании, обезвреживании токсических веществ. Микроэлементы активно влияют на процессы кроветворения, окисления-восстановления, проницаемость сосудов и тканей.
Как мы отмечали выше, многие элементы обычно присутствуют в виде ионов. Значение этих ионов для жизнедеятельности клетки было понято уже давно. Литература по физиологии, относящаяся к 20-м и 30-м годам, изобилует описанием наблюдений над влиянием ионов (главным образом Na+, Mg2+, K+ и Са2+) на физическую консистенцию и функции самых разных клеток. Абсолютное количество этих ионов и их баланс поддерживаются в живых системах в узких границах; любое экспериментальное изменение в этой части приводит к выраженным изменениям ряда биологических свойств — клеточной проницаемости, раздражимости, сократимости, вязкости протоплазмы, а также к нарушению процесса клеточного деления. О важном значении ионного баланса можно судить по тому факту, что часто пары этих катионов обнаруживают антагонистическое действие. Так, известно, что К+ снижает вязкость протоплазмы и вызывает расслабление мышц, тогда как Са2+ обусловливает переход цитоплазмы в состояние геля и инициирует мышечное сокращение. Отметим интересную черту баланса Na+ — К+: у животных Na + присутствует главным образом вне клеток, в тканевой жидкости, тогда как К+ сосредоточен в клетке. Естественно, что для поддержания такого распределения этих ионов клетка должна затрачивать энергию.
Значение ионного состава и ионного баланса в живых системах явствует также из факта замечательного постоянства этих характеристик на протяжении всей биологической эволюции. В таблице приведен ионный состав нескольких организмов, относящихся к разным эволюционным типам, в сравнении с ионным составом морской воды.
| Na+ | K+ | Ca2+ | Mg2+ | Cl- | SO4-- | |
| Позвоночные | ||||||
| Человек (млекопитающее) | 145 | 5,1 | 2,5 | 1,2 | 103 | 2,5 |
| 100 | 3,5 | 1,7 | 0,83 | 71 | 1,7 | |
| Крыса (млекопитающее) | 145 | 6,2 | 3,1 | 1,6 | 116 | |
| 100 | 4,2 | 2,1 | 1,1 | 80 | ||
| Лягушка (амфибия) | 103 | 2,5 | 2 | 1,2 | 74 | |
| 100 | 2,4 | 1,9 | 1,2 | 72 | ||
| Lophius (рыба) | 228 | 6,4 | 2,3 | 3,7 | 164 | |
| 100 | 2,8 | 1 | 1,6 | 72 | ||
| Беспозвоночные | ||||||
| Hydrophilus (насекомое) | 119 | 13 | 1,1 | 20 | 40 | 0,14 |
| 100 | 11 | 0,93 | 17 | 34 | 0,13 | |
| Омар (членистоногое) | 465 | 8,6 | 10,5 | 4,8 | 498 | 10 |
| 100 | 1,9 | 2,3 | 1 | 110 | 2,2 | |
| Venus (моллюск) | 438 | 7,4 | 9,5 | 25 | 514 | 26 |
| 100 | 1,7 | 2,2 | 5,7 | 120 | 5,9 | |
| Морской огурец (иглокожее) | 420 | 9,7 | 9,3 | 50 | 487 | 30 |
| 100 | 2,3 | 2,2 | 12 | 120 | 7,2 | |
| Морская вода | 417 | 9,2 | 9,4 | 50 | 483 | 30 |
| 100 | 2,2 | 2,3 | 12 | 120 | 7,2 | |
Пояснение к таблице:
Цифры, набранные жирным шрифтом,— относительные величины (содержание Nа+ принято за 100).
Остальные цифры — абсолютные величины, выраженные числом миллимолей на 1 л.
Маккаллум первым отметил, что наблюдающийся здесь параллелизм есть доказательство того, что жизнь возникла в море. Последующая эволюция мало что изменила в первоначальном ионном балансе. По прошествии миллиарда лет эволюции в наземных условиях в наших клетках и в жидкостях нашего тела сохраняется ионный баланс морской воды (хотя, конечно, жидкости тела менее концентрированы, чем морская вода, причем так было всегда — и сейчас, и миллиард лет назад).
Однако при общем консерватизме ионного баланса наблюдается все же постепенное изменение концентрации некоторых ионов в ходе эволюции. Сильнее всего выражено изменение в абсолютных концентрациях, особенно в абсолютных концентрациях Na+, Mg2+, Cu и SO4 ˉ. Кроме того, наблюдается также постепенное снижение относительных концентраций Mg2+ и SO4 2ˉ.
Наше понимание роли этих ионов на молекулярном уровне носит лишь весьма общий характер. Известно, что главные макромолекулярные компоненты клетки — белки и нуклеиновые кислоты— представляют собой отрицательно заряженные поливалентные ионы; следовательно, их противоионами служат катионы. Более того, было обнаружено, что между различными макромолекулами и специфическими катионами существуют вполне определенные взаимоотношения. Так, концентрация Mg2+ влияет, как оказалось, на агрегацию рибосом (по-видимому, эти ионы воздействуют на РНК, входящую в состав этих частиц). При снижении концентрации Mg2+ эти цитоплазматические органеллы распадаются на два компонента меньшего размера. Кальций почти наверняка служит противоионом фосфолипидного компонента клеточных мембранных систем. Действие Са2+ на снижение порога возбудимости нерва, а также факт высвобождения Са2+ из мембранной системы при мышечном сокращении — все это свидетельствует о важной роли этого иона в явлениях, требующих участия мембран.
Таковы немногие более или менее ясные примеры из этой обширной области клеточной биологии, которая еще требует изучения на молекулярном уровне.
Как, однако, обстоит дело с ультрамикроэлементами? Какую мыслимую роль может играть элемент, присутствующий в концентрации 10ˉ8 М? Ответ оказался весьма простым и ясным. Например, содержание основных элементов в теле человека, таких как ванадий, хром, марганец, кобальт, никель, медь, селен, молибден, олово, йод находится в пределах между 3 и 100 мг на 70 кг веса. Возникает вопрос: могут ли столь незначительные количества выполнять биологические функции? Проще найти ответ, если выразить вес в молярных количествах (колонка 4. таблицы).
Величины этих показателей свидетельствуют, что тело человека содержит, по меньшей мере, 1019 ионов каждого из этих элементов. Если принять за факт, что в теле человека находится примерно 1014 клеток (эту цифру приводят многие учебники биологии) и что каждая клетка должна содержать от 105 до 106 ионов этих элементов. Метаболически активные клетки будут содержать даже большее количество, тогда как в случае жиров, хрящей и костей — наблюдается противоположная картина. Таким образом, даже самые редкие из элементов способны оказывать физиологическое воздействие на каждую клетку организма.

Во всех детально изученных случаях эти ионы, как выяснилось, служат кофакторами определенных ферментов. Поскольку ферменты в силу их каталитической природы обычно требуются лишь в очень низких концентрациях, это должно быть справедливым и для их кофакторов. Небольшие количества микроэлементов нужны также для активации ферментов.
В таблице приведено несколько ферментативных реакций, в которых кофакторами служат те или иные ионы металлов.

Некоторые ионы металлов блокируются определенными ингибиторами, и тогда они уже более не могут функционировать как кофакторы. В молекуле гемоглобина, например, присутствуют четыре атома железа, которые в норме связывают кислород. Однако цианид и окись углерода способны значительно сильнее связываться с этими атомами железа, и когда это происходит, гемоглобин утрачивает способность переносить кислород. Подобные ингибиторы представляют собой клеточные яды; даже в очень низких концентрациях они могут вызвать гибель клетки.
Автор статьи: доцент кафедры биохимии МБФ РГМУ, к.м.н. Адрианов Николай Владимирович. Специально для ООО "Электронная Медицина".